• Предмет: Математика
  • Автор: root6337
  • Вопрос задан 2 года назад

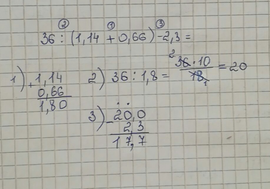
найдите значение выражения 36:(1,14+0,66)-2,3 со столбиками пж

Ответы

Ответ дал: QueenNics
1
1) + 1,14    2) 36:1,8= 360:18=20    3) - 20,0
        0,66                                                  2,3
        ------                                                 ------                                                  
        1,80                                                  17,7
ответ 17,7


root6337: спасибо большое
Ответ дал: darinka301
0
…………………………………… ……… ………
Приложения:
Вас заинтересует