Ответы
Ответ дал:
1
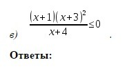
х+1=0. х+3=0. х+4 не равно нулю
х=-1. х=-3. х не равно -4
методом интервалов
+. - +. +
____-4°___-3•______-1•______
Ответ: [-4;-3]
х=-1. х=-3. х не равно -4
методом интервалов
+. - +. +
____-4°___-3•______-1•______
Ответ: [-4;-3]
Вас заинтересует
2 года назад
2 года назад
2 года назад
2 года назад
3 года назад
9 лет назад