Ответы
Ответ дал:
0
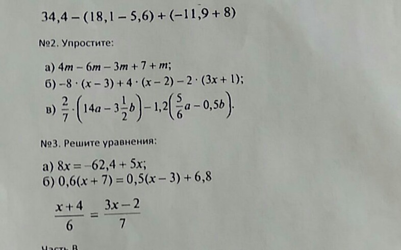
34,4 - (18,1 - 5,6) + (-11,9 + 8) = 18
1) 18,1 - 5,6 = 12,5
2) -11,9 + 8 = -3,9
3) 34,4 - 12,5 = 21,9
4) 21,9 + (-3,9) = 18
2. 4m - 6m - 3m + 7 + m = -4m+7
-8*(x-3)+4*(x-2) - 2*(3x+1) =
-8x+24+4x-8-6x-2= -10x+14
2/7*(14a - 3 1/2b) - 1,2*(5/6a-0,5b)=
4a - b - a + 0,6b = 3a - 0,4
3. а) 8x = - 62,4 +5x
8x-5x = - 62,4
3x = -62,4
x = 20,8
б) 0,6(x+7) = 0,5(x-3) + 6,8 =
0,6x+4,2=0,5x-1,5+6,8
0,6x-0,5x+1,5=-4,2+6,8
1,6x=2,6
x=1,625
x+4 3x-2
----- = ---------
6 7
x+4 3x-2
----- - --------- = 0
6 7
7x+28-18x+24 = 0
-----------------
42
-11x = -52
x = 4 8/11
1) 18,1 - 5,6 = 12,5
2) -11,9 + 8 = -3,9
3) 34,4 - 12,5 = 21,9
4) 21,9 + (-3,9) = 18
2. 4m - 6m - 3m + 7 + m = -4m+7
-8*(x-3)+4*(x-2) - 2*(3x+1) =
-8x+24+4x-8-6x-2= -10x+14
2/7*(14a - 3 1/2b) - 1,2*(5/6a-0,5b)=
4a - b - a + 0,6b = 3a - 0,4
3. а) 8x = - 62,4 +5x
8x-5x = - 62,4
3x = -62,4
x = 20,8
б) 0,6(x+7) = 0,5(x-3) + 6,8 =
0,6x+4,2=0,5x-1,5+6,8
0,6x-0,5x+1,5=-4,2+6,8
1,6x=2,6
x=1,625
x+4 3x-2
----- = ---------
6 7
x+4 3x-2
----- - --------- = 0
6 7
7x+28-18x+24 = 0
-----------------
42
-11x = -52
x = 4 8/11
Вас заинтересует
3 года назад
7 лет назад
10 лет назад
10 лет назад