• Предмет: Алгебра
  • Автор: Vmierzlukuna
  • Вопрос задан 9 лет назад

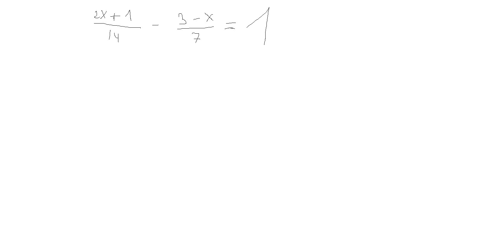
Дам 20 баллов! Помогите

Приложения:

Ответа на этот вопрос пока нет. Попробуйте найти его через форму поиска.

Вас заинтересует