• Предмет: Математика
  • Автор: polina1998
  • Вопрос задан 11 лет назад

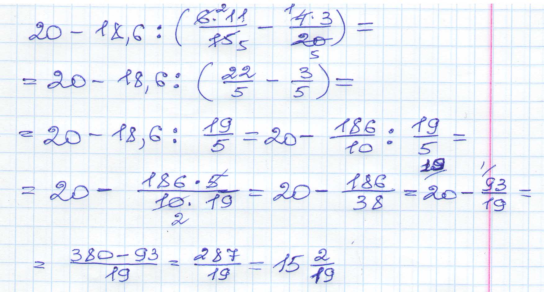
20-18,6:((6)11/15 - (4)3/20)

Ответы

Ответ дал: ali07
0

Если условие я записал правильно, то решение см. в файле 

Приложения:
Ответ дал: triolana
0

20-18,6:31/12=20-7,2= 12,8

Приложения:
Вас заинтересует
11 лет назад
11 лет назад