• Предмет: Алгебра
  • Автор: fakemail
  • Вопрос задан 9 лет назад

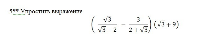
Упростите Выражение

Приложения:

Ответа на этот вопрос пока нет. Попробуйте найти его через форму поиска.

Вас заинтересует