Помогите срочно с химией!
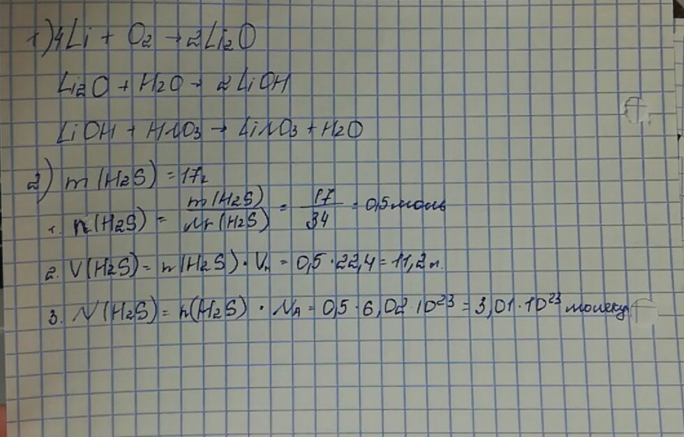
1) Запишите уравнения реакций,с помощью которых можно осуществить следующие превращения: Li- Li₂O - LiOH - LiNO₃
2)Какой объем займут при н.у. 17г. сероводорода? Сколько молекул его содержится в этом объеме?
Ответы
Ответ дал:
0
…………………………………………………,………………,
Приложения:

Вас заинтересует
2 года назад
7 лет назад
7 лет назад
10 лет назад