• Предмет: Геометрия
  • Автор: вика3334
  • Вопрос задан 9 лет назад

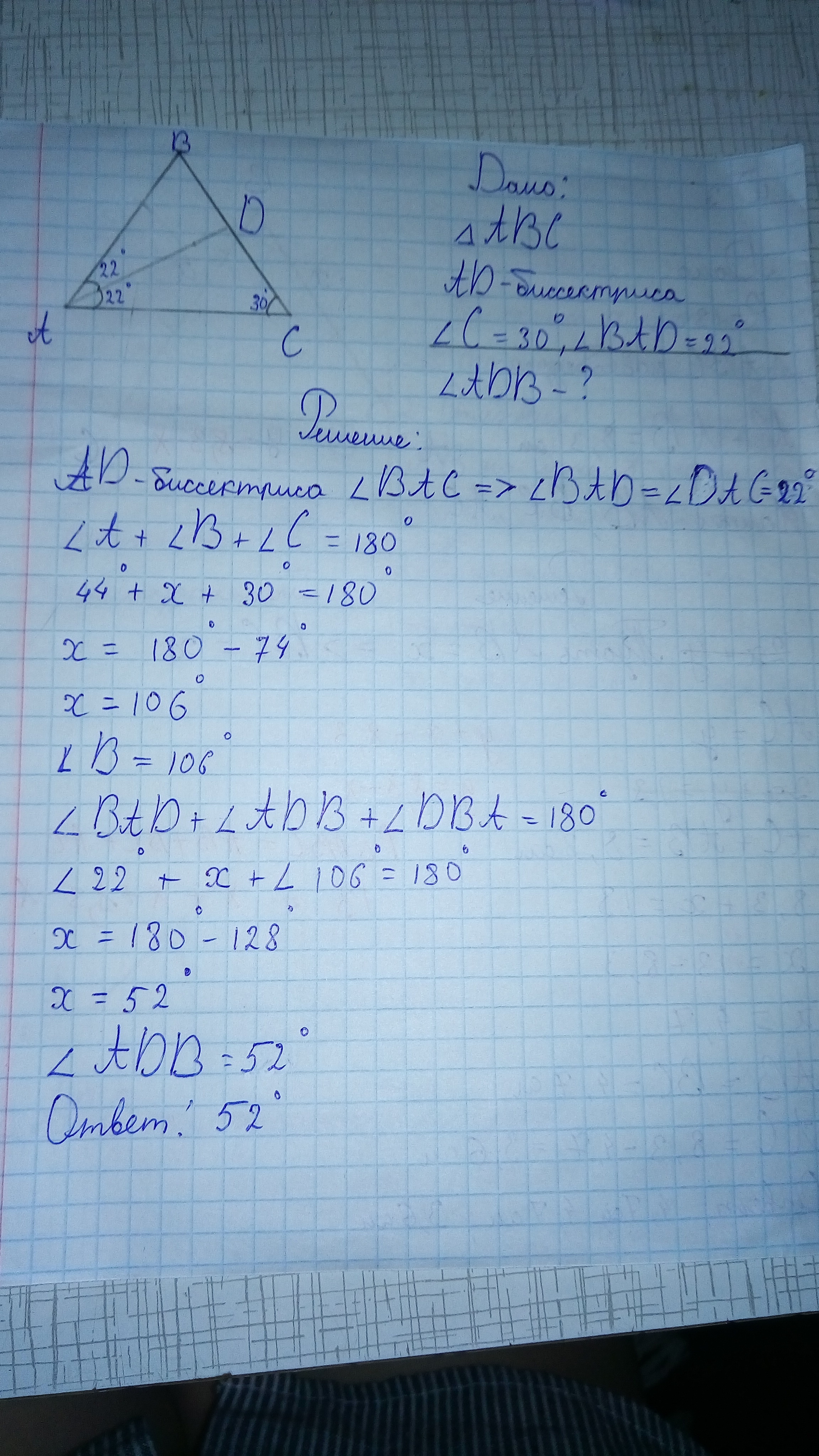
Часть 2 В1 В треугольнике ABC AD — биссектриса, угол C равен 30 °, угол BAD равен 22 °. Найдите угол ADB. Ответ дайте в градусах Ответ ________________________________________ В2 В треугольнике ABC угол A равен 40 °, внешний угол при вершине B равен 102 °. Найдите угол C. Ответ дайте в градусах Ответ: ____________________________________

Ответы

Ответ дал: Ульяна3548
0
В1...................
Приложения:
Вас заинтересует