• Предмет: Химия
  • Автор: ArtemTrololol
  • Вопрос задан 9 лет назад

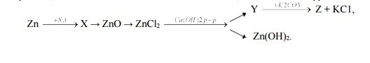
ДАЮ 30 БАЛЛОВ! Запишите уравнения реакций согласно предложенной схеме превращений Для реакции, являющейся качественной на катион кальция, запишите ионное уравнение:

Приложения:

Ответа на этот вопрос пока нет. Попробуйте найти его через форму поиска.

Вас заинтересует