помогите пожалуйста решить
можно не все сразу решать
я буду рада если вы напишете хоть одно
пишите пожалуйста по действиям
Приложения:
Ответы
Ответ дал:
0
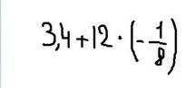
3.4+12*отрицательную дробь1/8
1)12*отрицательную дробь1/8=отрицательная дробь 3/2
2)3.4= смешанное число 3целых 4/10
3)3целых 4/10+отрицательная дробь 3/2= отрицательная дробь 3/10
или
-0.3
1)12*отрицательную дробь1/8=отрицательная дробь 3/2
2)3.4= смешанное число 3целых 4/10
3)3целых 4/10+отрицательная дробь 3/2= отрицательная дробь 3/10
или
-0.3
Ответ дал:
0
спасибо
Ответ дал:
0
дай лучший ;-)
Вас заинтересует
2 года назад
2 года назад
7 лет назад
10 лет назад
10 лет назад