• Предмет: Математика
  • Автор: sdwasdwasdwas
  • Вопрос задан 9 лет назад

помогите плиз!!!!!
!!!!!!!!!!!!!!!!!!!!!!!!!!!!!!!!!!!

Приложения:

Ответы

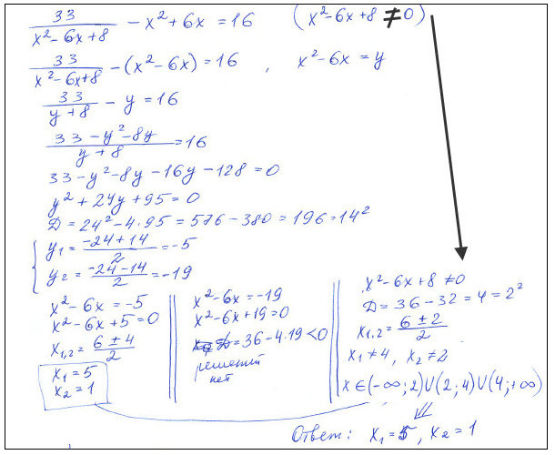
Ответ дал: PalaxiK
0
Ответ д, смотри решение
Приложения:
Вас заинтересует