• Предмет: Алгебра
  • Автор: Daria8hp
  • Вопрос задан 9 лет назад

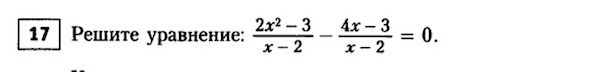
СРОЧНО! Помогите, пожалуйста

Приложения:

Ответа на этот вопрос пока нет. Попробуйте найти его через форму поиска.

Вас заинтересует