Ответы
Ответ дал:
0
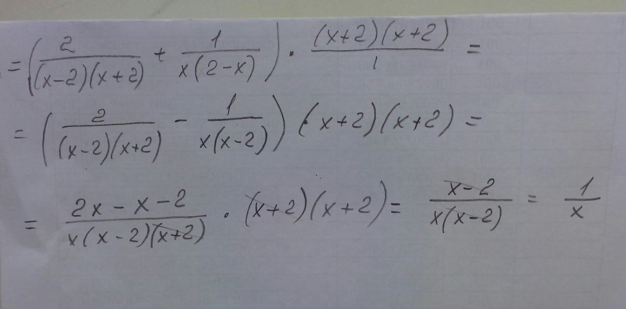
(√10+√5)*√20-5√8=√50+√100-5√(4*2)=5√2+10-10√2=10
Приложения:

Ответ дал:
0
2+10 всё в корне или только 2???
Ответ дал:
0
нет. это 5корн.2 а +10 - другое уже
Ответ дал:
0
если под корнем, я беру в скобки.
Ответ дал:
0
типа 5I/(4*2)
Вас заинтересует
2 года назад
2 года назад
7 лет назад
7 лет назад
9 лет назад
9 лет назад
10 лет назад