Решите пожалуйста, буду очень благодарен (необязательно все, это к пожеланию)
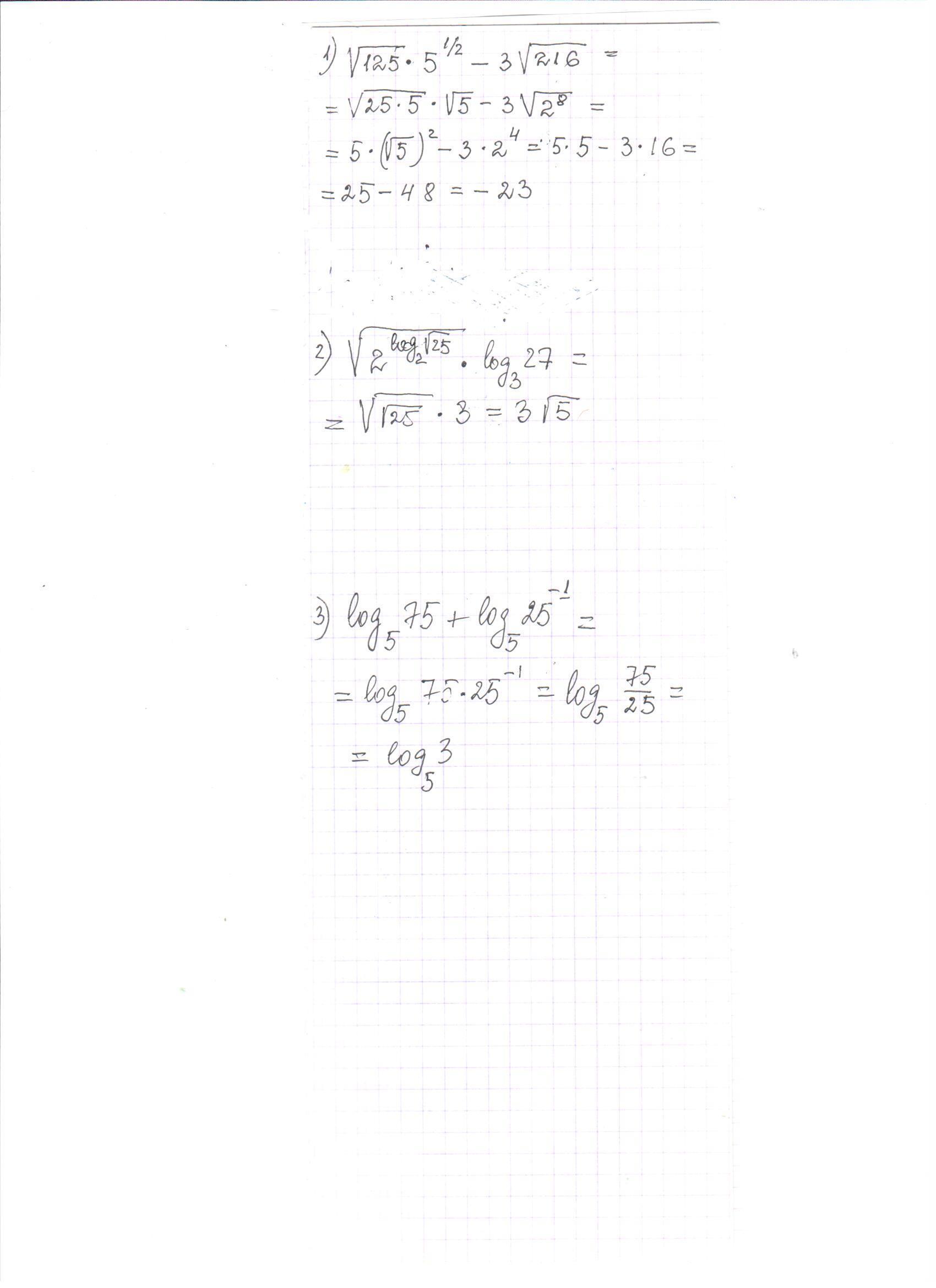
корень из 125 умножить на 5^1/2 - 3 корня из 216
(корень из 2)^logкореньиз25 умножить на log3 27
log5 75 + log5 (25)^-1
Ответы
Ответ дал:
0
Не уверена, что правильно расшивровала второе условие. Ну, извини, если что не так. Удачи!
Приложения:

Вас заинтересует
2 года назад
6 лет назад
9 лет назад
9 лет назад