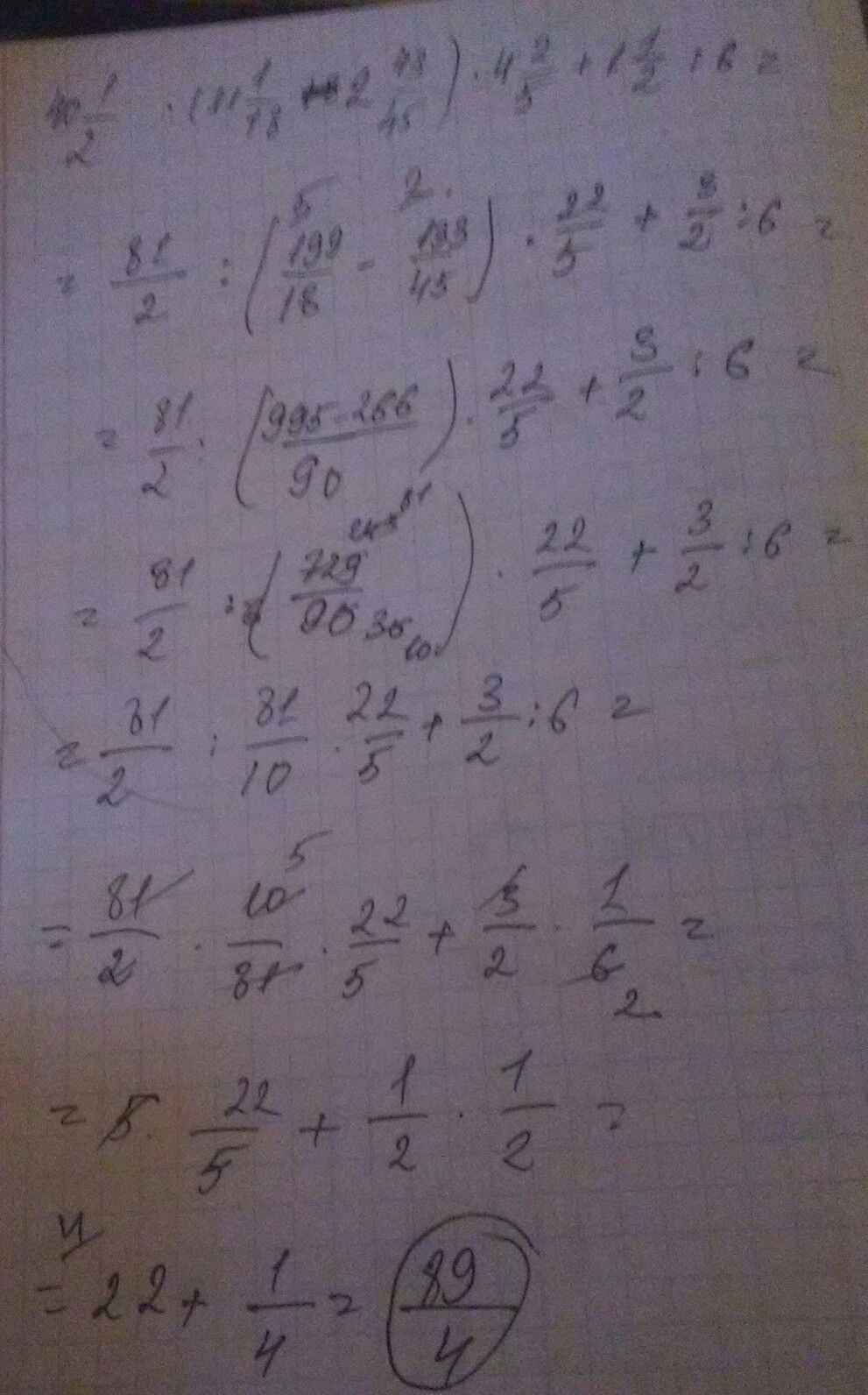
40 1/2:(11 1/18-2 43/45)*4 2/5+1 1/2:6 пожалуйста помогите по действиям дам 20 балов (желательно на листке бумаги)
Ответы
Ответ дал:
0
думаю правильно..........
Приложения:

Вас заинтересует
2 года назад
7 лет назад
7 лет назад
9 лет назад
10 лет назад