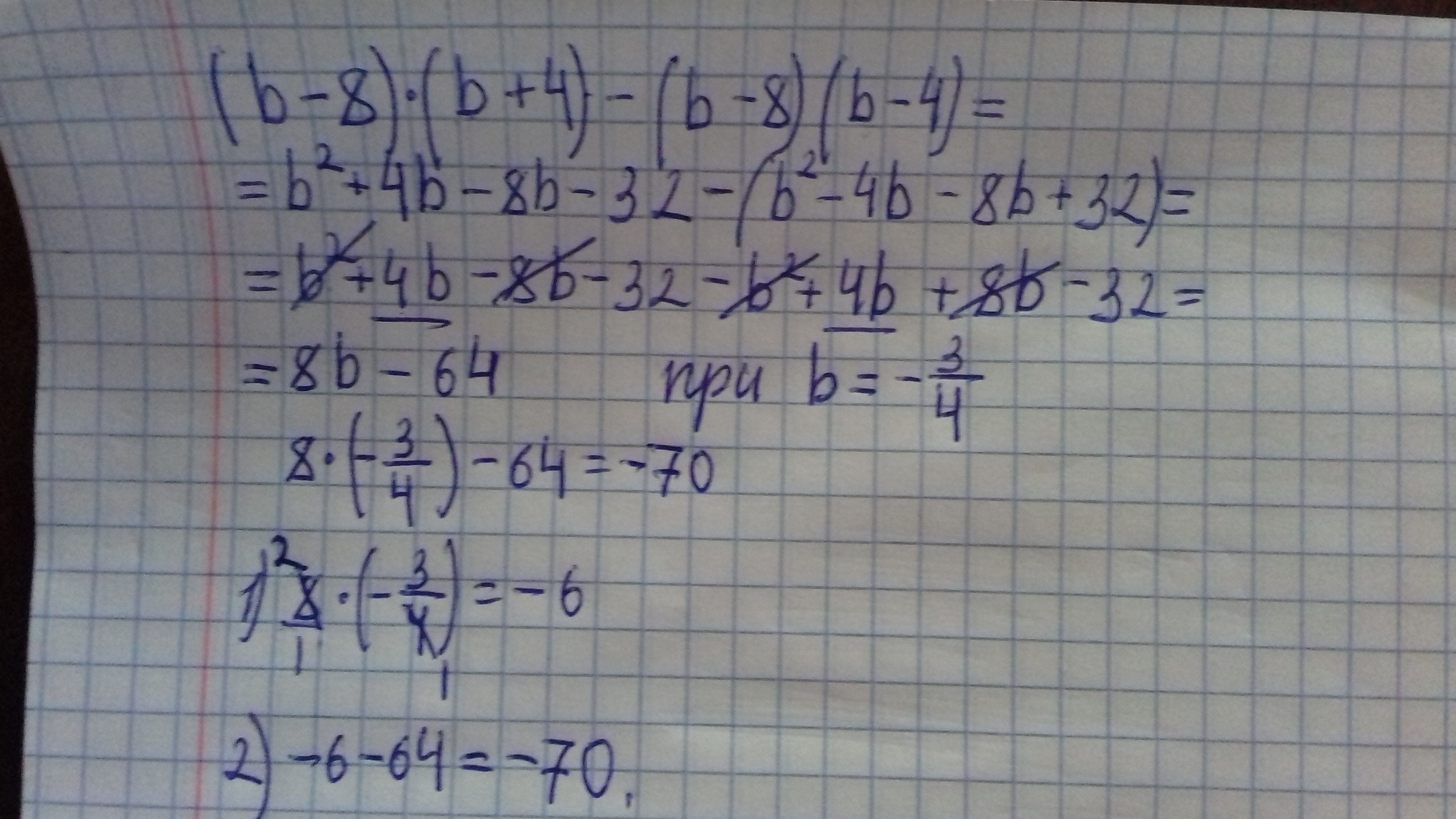
Найдите значение выражения (b-8)(b+4)-(b-8)(b-4) при b = -3/4(дробью)
Решите, пожалуйста, с объяснением!!
Ответы
Ответ дал:
0
С начала надо упростить выражение в 3 строчки сокращаем числа которые в сумме дадут ноль потом подставляем в пример и решаем
Приложения:
Вас заинтересует
2 года назад
2 года назад
7 лет назад
7 лет назад
10 лет назад
10 лет назад
10 лет назад