Ответы
Ответ дал:
0
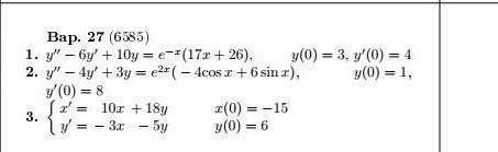
Посмотрите решение во вложении.
Всё подробно расписать не выходит, так как тема предполагает овладение определёнными навыками в хорошей степени (метод неопределённых коэффициентов, нахождение производной и т.п.)
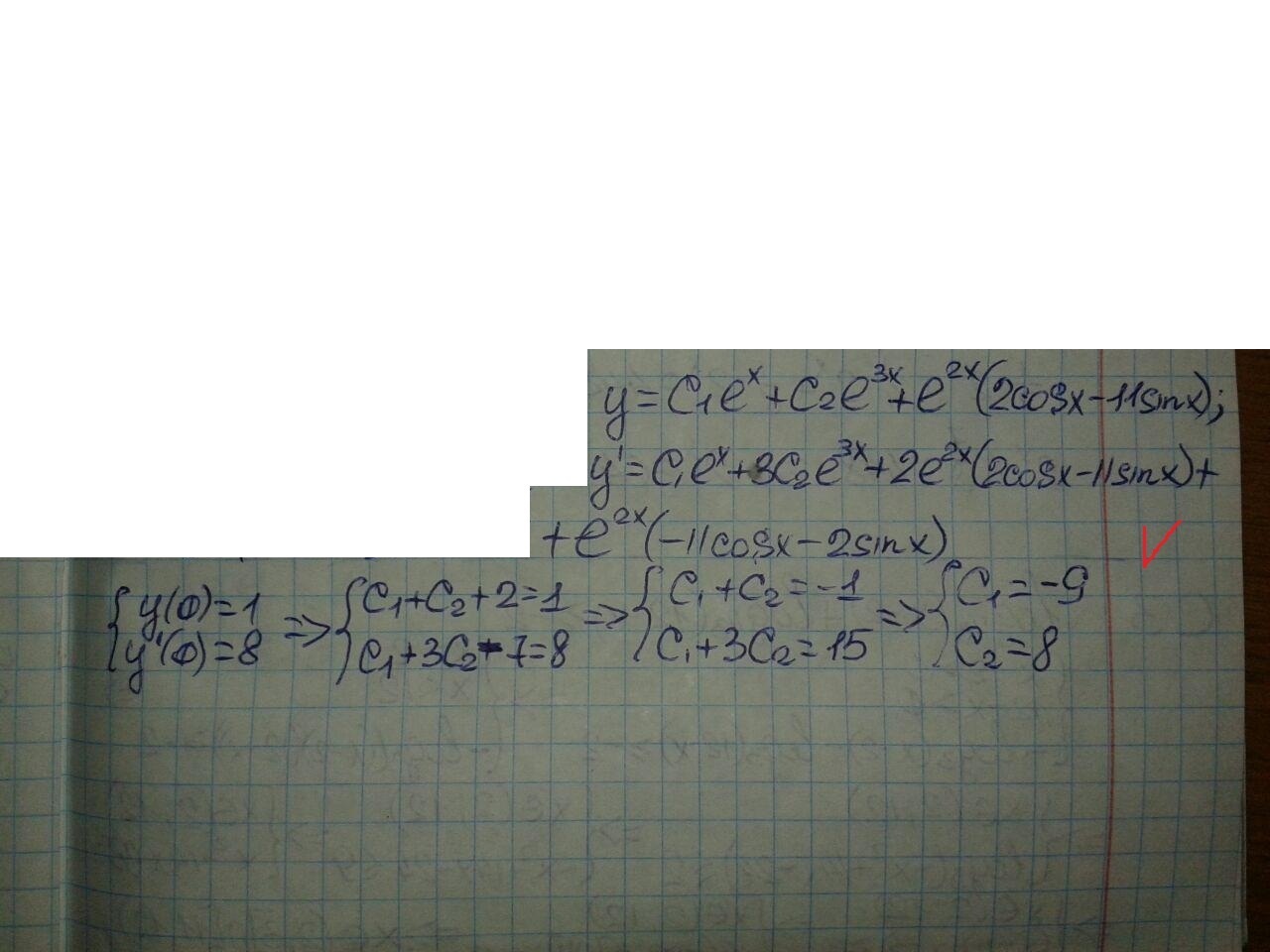
Так как задание №2 делалось с исправлением, то красная галочка обозначает место вставки.
Всё подробно расписать не выходит, так как тема предполагает овладение определёнными навыками в хорошей степени (метод неопределённых коэффициентов, нахождение производной и т.п.)
Так как задание №2 делалось с исправлением, то красная галочка обозначает место вставки.
Приложения:




Вас заинтересует
2 года назад
2 года назад
7 лет назад
7 лет назад
9 лет назад
10 лет назад