Ответы
Ответ дал:
0
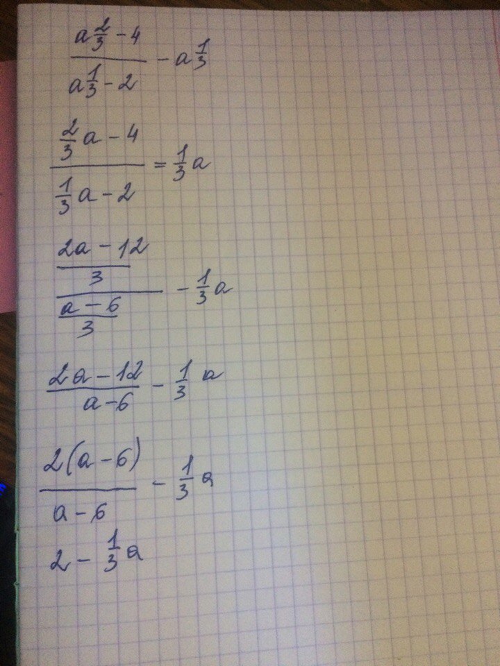
В общем как-то так,думаю разберёшься
Приложения:

Ответ дал:
0
а степени мы представляем как просто дробное число?
Ответ дал:
0
Нет это теже степени просто я так пишу,извини
Ответ дал:
0
а почему написала 2/3а - 4
Ответ дал:
0
прости что спрашиваю, у нас учитель дотошный, всегда спрашивает откуда что взяли
Вас заинтересует
2 года назад
2 года назад
7 лет назад
9 лет назад
9 лет назад