Ответы
Ответ дал:
0
Ответ:::::::::::::::::::::::::::
Приложения:
Ответ дал:
0
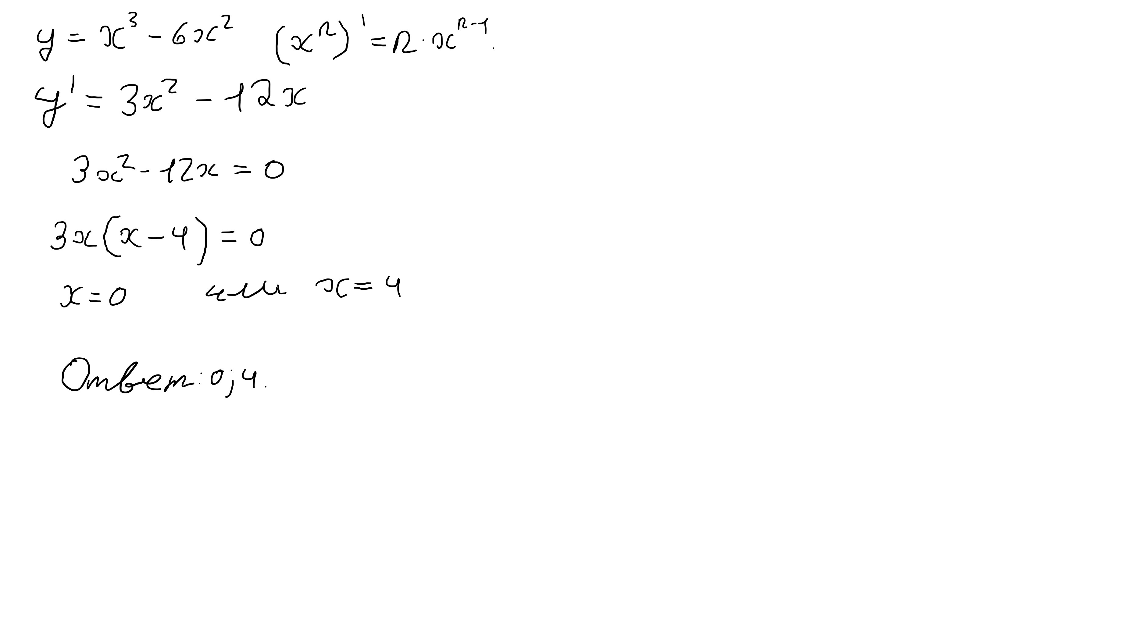
y=x^3-6x^2
y`=3x^2-12x
Решим уравнение:
y`=0
3x^2-12x=0
x^2-4x=0
x(x-4)=0
x-4=0 или х=0
х=4
_____ 0 _____ 4 ______
+ - +
x = 0 - точка максимума
х = 4 - точка минимума
y`=3x^2-12x
Решим уравнение:
y`=0
3x^2-12x=0
x^2-4x=0
x(x-4)=0
x-4=0 или х=0
х=4
_____ 0 _____ 4 ______
+ - +
x = 0 - точка максимума
х = 4 - точка минимума
Приложения:
Вас заинтересует
2 года назад
7 лет назад
7 лет назад
10 лет назад
10 лет назад
10 лет назад