• Предмет: Математика
  • Автор: Щах
  • Вопрос задан 9 лет назад

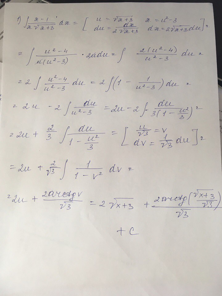
Задание 3,4,5. Неопределенные интегралы

Приложения:

Ответы

Ответ дал: dacrrienble
0
всё, что смогла___________________________
Приложения:
Ответ дал: let5
0
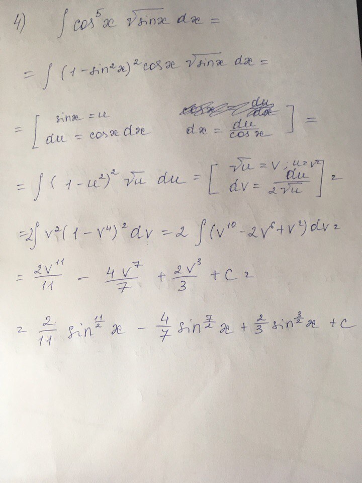
 int {Cos^5x* sqrt{Sinx} } , dx =int {Cos^4x* sqrt{Sinx} } , d(Sinx)= int {(Cos^2x)^2* sqrt{Sinx} } , d(Sinx)=int {(1-Sin^2x)^2* sqrt{Sinx} } , d(Sinx)=| t=Sinx|= int {(1-t^2)^2sqrt{t}}   , dt  = int {(1-2t^2+t^4)sqrt{t}}   , dt int( sqrt{t} -2t^2 sqrt{t}+t^4 sqrt{t}  ) , dt = int {(t^{ frac{1}{2} }-2t^{ frac{5}{2} }+t^{ frac{9}{2} })} , dt = frac{t ^{ frac{3}{2} } }{ frac{3}{2} } -2 frac{t ^{ frac{7}{2} } }{ frac{7}{2} }+frac{t ^{ frac{11}{2} } }{ frac{11}{2} }+C= frac{2}{3} t sqrt{t} - frac{4}{7} t^3 sqrt{t} + frac{2}{11} t^5 sqrt{t} +C=2t sqrt{t} ( frac{1}{3} - frac{2}{7} t^2+ frac{1}{11} t^4)+C=2Sinx sqrt{Sinx} ( frac{1}{3} - frac{2}{7} Sin^2x+ frac{1}{11} Sin^4x)+C

Приложения:
Вас заинтересует
10 лет назад