Ответы
Ответ дал:
0
Применены свойства степени
Приложения:

Ответ дал:
0
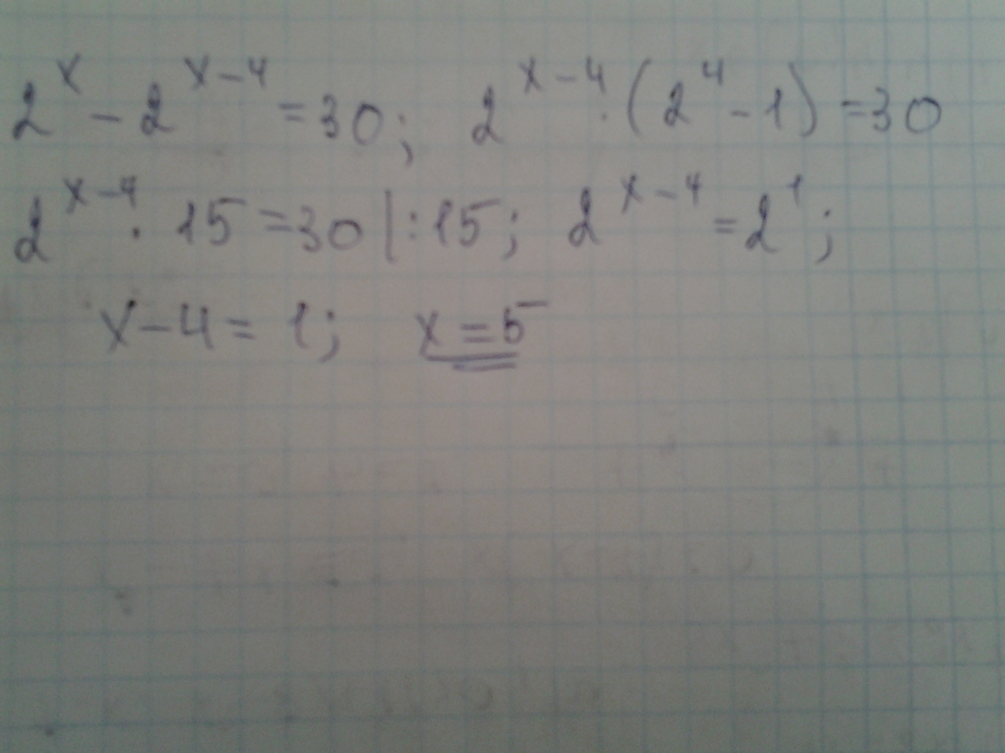
2^x-2^x·2^(-4)=30
2^x-2^x·1/16=30
2^x(1-1/16)=30
2^x=30÷15/16
2^x=16
x=4
2^x-2^x·1/16=30
2^x(1-1/16)=30
2^x=30÷15/16
2^x=16
x=4
Приложения:

Вас заинтересует
2 года назад
7 лет назад
7 лет назад
9 лет назад
9 лет назад
10 лет назад