Ответы
Ответ дал:
0
1)35x^4-1/2
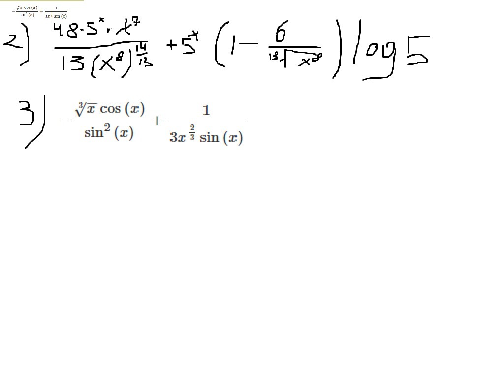
2 и 3 на рисунку
2 и 3 на рисунку
Приложения:

Вас заинтересует
2 года назад
2 года назад
7 лет назад
7 лет назад
9 лет назад
10 лет назад
10 лет назад