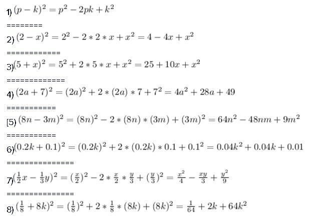
Подайте у виглядi многочлена:
1) (p-k)²
2) (2-c)²
3) (5+x)²
4) (2a+7)²
5) (8n-3m)²
6) (0,2k+0,1)²
7) (12x-13y)²
8) (18+8k)²
Ответы
Ответ дал:
0
1) 
========
2)
============
3)
=============
4)
===========
[5)
===========
6)
===============
7)
===============
8)
========
2)
============
3)
=============
4)
===========
[5)
===========
6)
===============
7)
===============
8)
Приложения:

Вас заинтересует
2 года назад
2 года назад
7 лет назад
7 лет назад
9 лет назад
10 лет назад