• Предмет: Алгебра
  • Автор: tommy8
  • Вопрос задан 9 лет назад

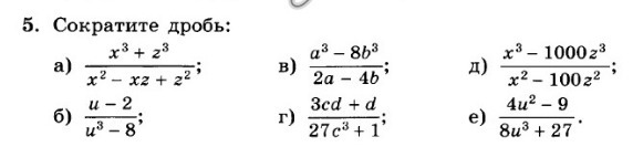
РЕШИТЕ!!!!СРОЧНО!ОТДАЮ ВСЕ БАЛЛЫ,ПРИШЛИТЕ ФОТО РЕШЕНИЯ

Приложения:

Ответа на этот вопрос пока нет. Попробуйте найти его через форму поиска.

Вас заинтересует