• Предмет: Математика
  • Автор: barinova2002
  • Вопрос задан 9 лет назад

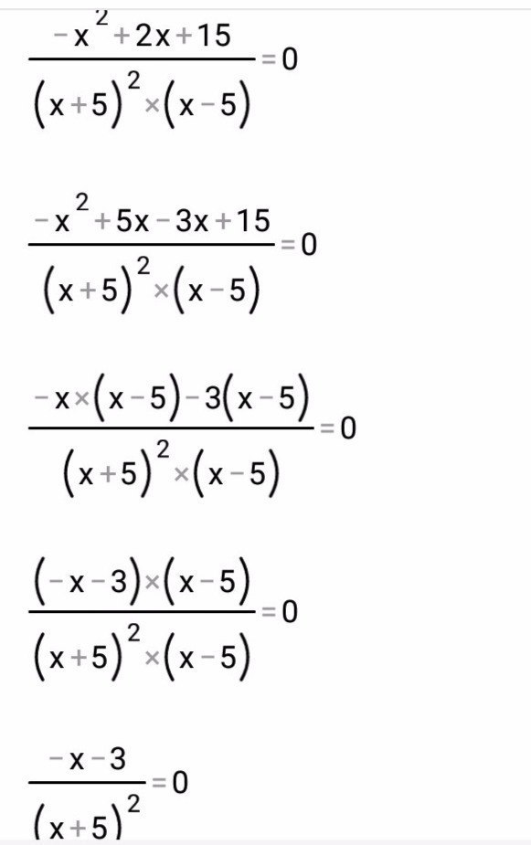
Помогите решить уравнение

Приложения:

Ответы

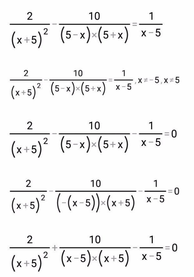
Ответ дал: selenagomes19
0
Вродее  правильно.. ))
Приложения:
Вас заинтересует