Постройте график функции у=1/3+1 с помощью графика найдите а) наибольшее и наименьшее значение функции на отрезке [0;3] б) значение аргумента при которых у=0 и у<0
Ответы
Ответ дал:
0
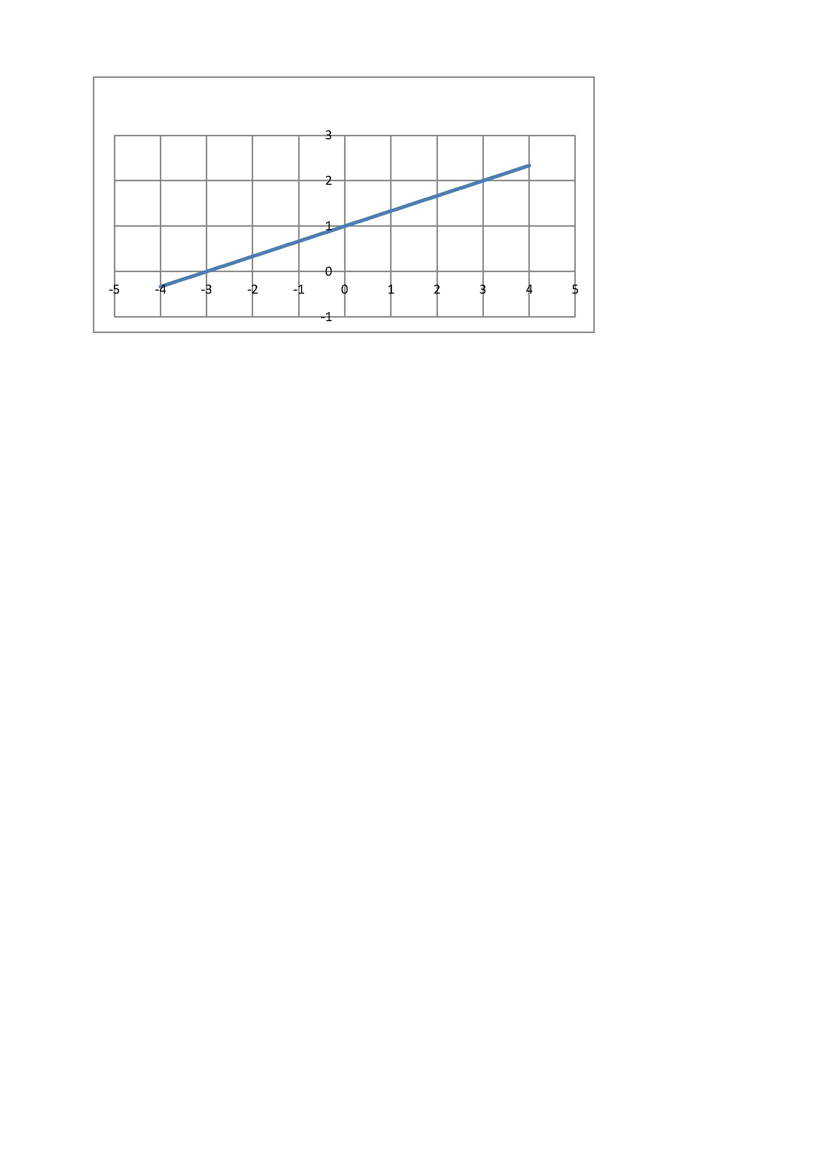
если да, то график в приложении.
а) поскольку функция возрастает, наибольшее и наименьшее значение она принимает на концах отрезка, т.е. при х= 0 и х= 3 соответственно.
х min = 0/3+1=1; х max = 3/3+1=2.
б) у=0 при х=-3
у<0 при х<-3
а) поскольку функция возрастает, наибольшее и наименьшее значение она принимает на концах отрезка, т.е. при х= 0 и х= 3 соответственно.
х min = 0/3+1=1; х max = 3/3+1=2.
б) у=0 при х=-3
у<0 при х<-3
Приложения:
Вас заинтересует
3 года назад
7 лет назад
7 лет назад
10 лет назад
10 лет назад