• Предмет: Алгебра
  • Автор: sabaka412
  • Вопрос задан 9 лет назад

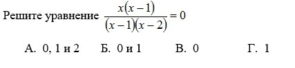
Решите уравнение: (скриншот ниже)

Приложения:

Ответы

Ответ дал: MizoriesKun
0

                 
х*(х-1)                                               х
---------------- =0  сократим  (х-1)    ---------- = 0  ,ОДЗ  х≠2
(х-1)(х-2)                                         х-2

Ответ : х=0
Ответ дал: fraizzy
0
x-1 сокращаются и получается х/х-2=0

х не рвано 2, т.к. дробь равняется нулю, когда числитель равен нулю, а знаменатель не равен. =>

х = 0
Ответ дал: fraizzy
0
ответ В
Ответ дал: sabaka412
0
Благодарю.
Вас заинтересует