Ответы
Ответ дал:
0
V корень квадратный
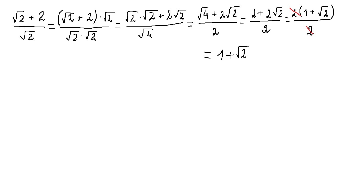
( V 2 + 2 ) / ( V 2 ) = ( ( V 2 )( V 2 + 2 )) / ( V 2 )^2 = ( 2 + ( 2 V 2 )) / 2 = 1 + V 2
Ответ 1 + V 2
( V 2 + 2 ) / ( V 2 ) = ( ( V 2 )( V 2 + 2 )) / ( V 2 )^2 = ( 2 + ( 2 V 2 )) / 2 = 1 + V 2
Ответ 1 + V 2
Ответ дал:
0
смотри решение на картинке
Приложения:

Вас заинтересует
2 года назад
9 лет назад
9 лет назад
10 лет назад