• Предмет: Алгебра
  • Автор: жвжазаз
  • Вопрос задан 9 лет назад

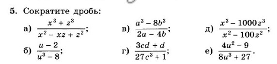
СРОЧНО.РЕШИТЕ И ПРИШЛИТЕ ФОТО С РЕШЕНИЕМ ПОДАЛУЙСТА,ОЧЕНЬ НАДО,ОТДАЮ ВСЕ БАЛЛЫ

Приложения:

Ответа на этот вопрос пока нет. Попробуйте найти его через форму поиска.

Вас заинтересует