Ответы
Ответ дал:
0
..............................................
Приложения:
Ответ дал:
0
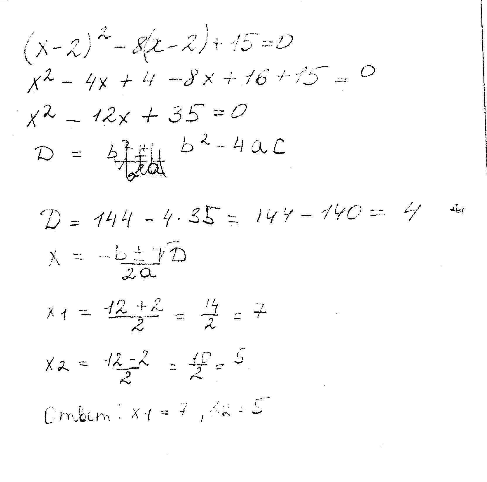
x^2-4x+4-8x+16+15=0
x^2-12x+35=0
a=1 b=-12 c=35
D=12^2-4*1*35=144-140=4=2(из 4 надо корень извлечь, будет 2)(перед четыре,корень не забудь поставить!!!)
x1= 12-2/2*1=5
x2= 12+2/2*1=7
Ответ: x1=5; x2=7
Вроде так.
x^2-12x+35=0
a=1 b=-12 c=35
D=12^2-4*1*35=144-140=4=2(из 4 надо корень извлечь, будет 2)(перед четыре,корень не забудь поставить!!!)
x1= 12-2/2*1=5
x2= 12+2/2*1=7
Ответ: x1=5; x2=7
Вроде так.
Приложения:
Вас заинтересует
2 года назад
2 года назад
7 лет назад
10 лет назад
10 лет назад
10 лет назад
10 лет назад