• Предмет: Алгебра
  • Автор: 1pc1
  • Вопрос задан 11 лет назад

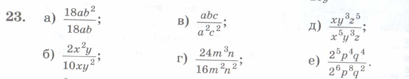
Ребят, помогите решить, пожалуйста!!! №21 (б,в), №23 (а-г)

Приложения:

Ответы

Ответ дал: Ирэнушка
0
Если что не видно, то спрашивай. ;)
Приложения:
Вас заинтересует