• Предмет: Алгебра
  • Автор: Ungreedor6v9randome
  • Вопрос задан 9 лет назад

Тема: "Степень с рациональным показателем".

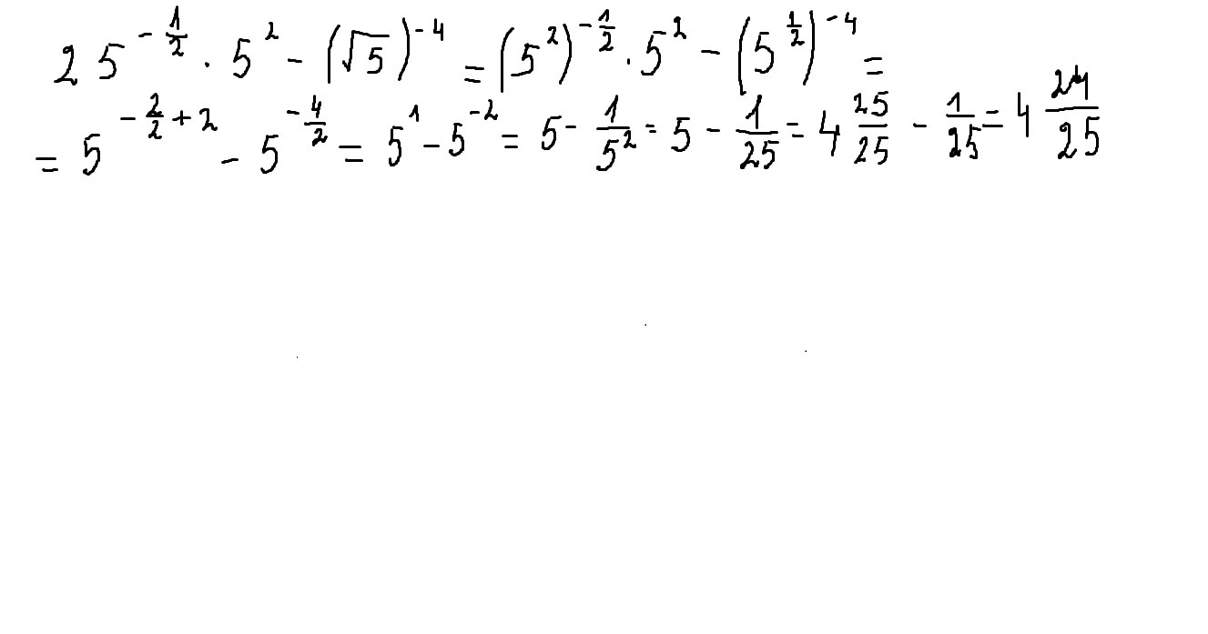
25^-½ × 5² - (√5)^-⁴

Ответы

Ответ дал: parus77
0
решение смотри внизу
Приложения:
Вас заинтересует