Ответы
Ответ дал:
0
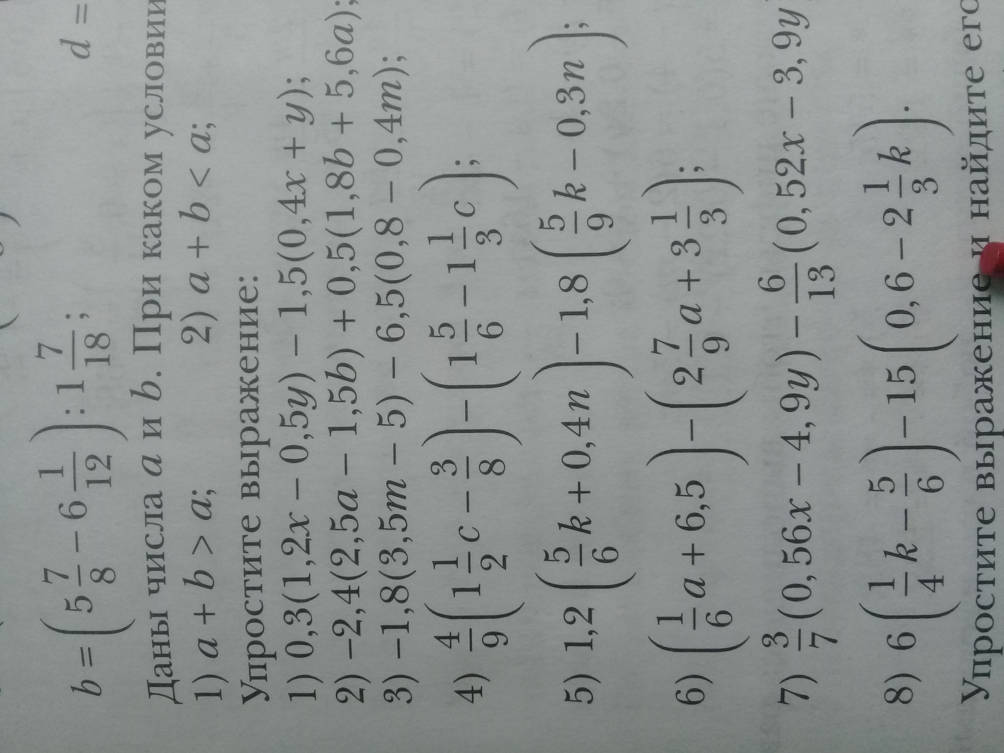
5) 1,2(5/6 к +0,4п) - 1,8 (5/9 к -0,3п) =
= 6/5 · 5/6 к + 1,2 · 0,4п - 9/5 · 5/9 к + 1,8 · 0,3п =
=к + 0,48п - к + 0,54п = 1,02п
Ответ: 1,02п
= 6/5 · 5/6 к + 1,2 · 0,4п - 9/5 · 5/9 к + 1,8 · 0,3п =
=к + 0,48п - к + 0,54п = 1,02п
Ответ: 1,02п
Вас заинтересует
2 года назад
2 года назад
7 лет назад
9 лет назад
10 лет назад