• Предмет: Алгебра
  • Автор: uliana3447
  • Вопрос задан 9 лет назад

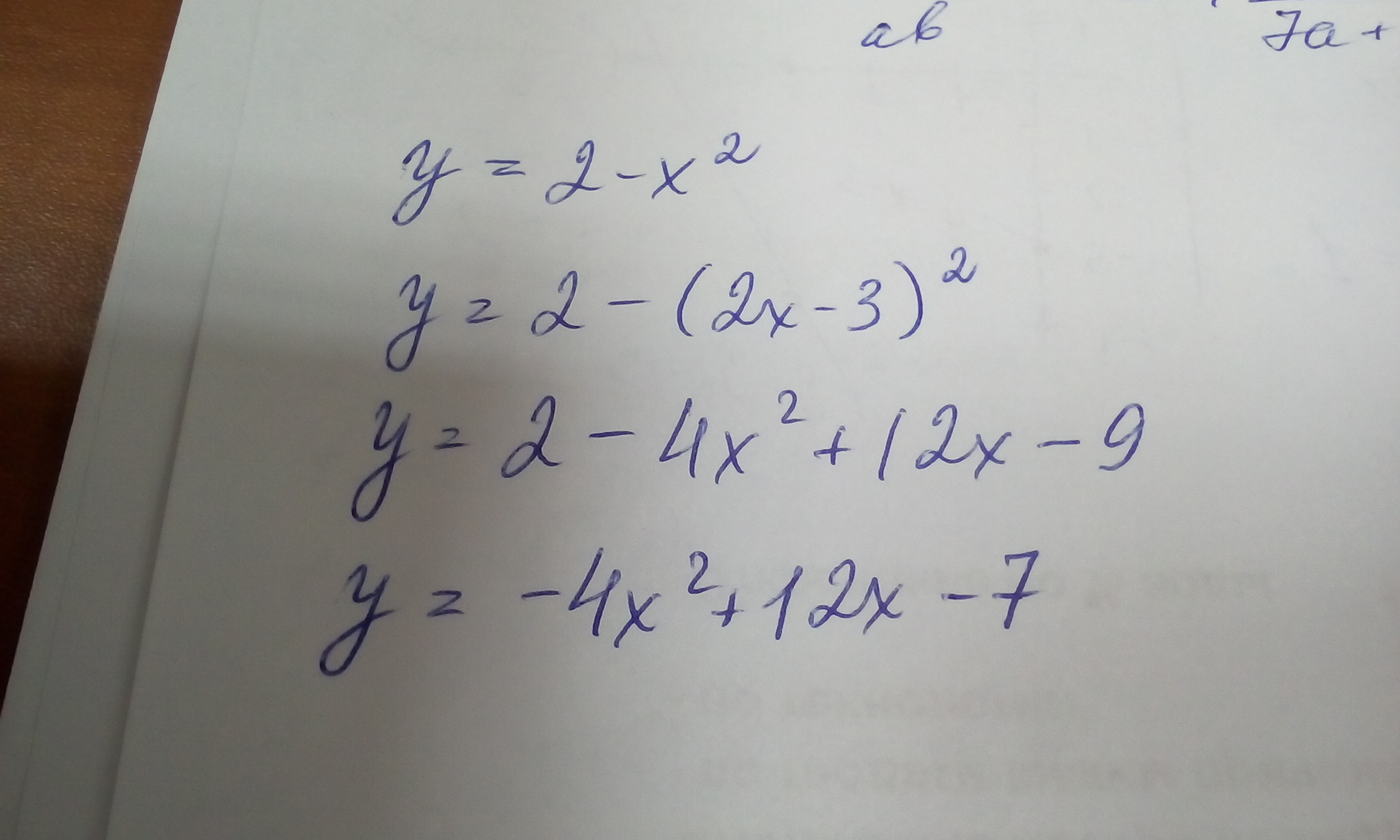
Дана функция у=f(x), где f(x)=2-x^2
Вычислите f(2x-3)
ПОЖАЛУЙСТА, ПОМОГИТЕ, СРОЧНО:3

Ответы

Ответ дал: PalaxiK
0
Уже было.......... Эх..........
Приложения:
Ответ дал: uliana3447
0
ахпха, спасибо большое♥
Вас заинтересует