• Предмет: Математика
  • Автор: Илюха64рус
  • Вопрос задан 9 лет назад

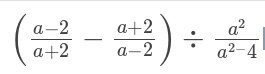
Алгебра.
Выполните действия:

Приложения:

Ответы

Ответ дал: PopOoGuy
0
ететкиктктткткткик не пкиеиньркеткьн тип
Приложения:
Ответ дал: paradiseva
0
сначала приводим к общему знаменателю, затем заменяем деление на умножение и переворачиваем вторую дробь, соответственно. Пользуясь формулой разности квадратов, сворачиваем скобки в знаменателе. Далее работаем с формулами квадрата суммы и разности 
Приложения:
Ответ дал: Илюха64рус
0
Да это понятно. А записать нельзя?
Вас заинтересует