• Предмет: Алгебра
  • Автор: gjycfxfcgnjkjj
  • Вопрос задан 11 лет назад

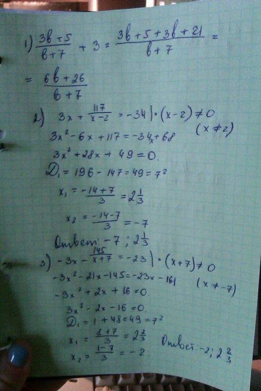
1) 3b+5/b+7 +3 (3 после дроби стоит)
2) 3x +117/x-2=-34 (3x стоит перед дробью)
3) -3x -145/x+7=-23 (-3x стоит перед дробью)

Ответы

Ответ дал: Света19999
0
Решение на фото                                                              
Приложения:
Вас заинтересует