• Предмет: Математика
  • Автор: DirtyBoy228
  • Вопрос задан 9 лет назад

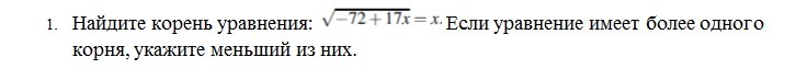
Решите с объяснением

Приложения:

Ответы

Ответ дал: okneret
0
Применены свойства арифметического квадратного корня
Приложения:
Вас заинтересует