Упростите выражение.
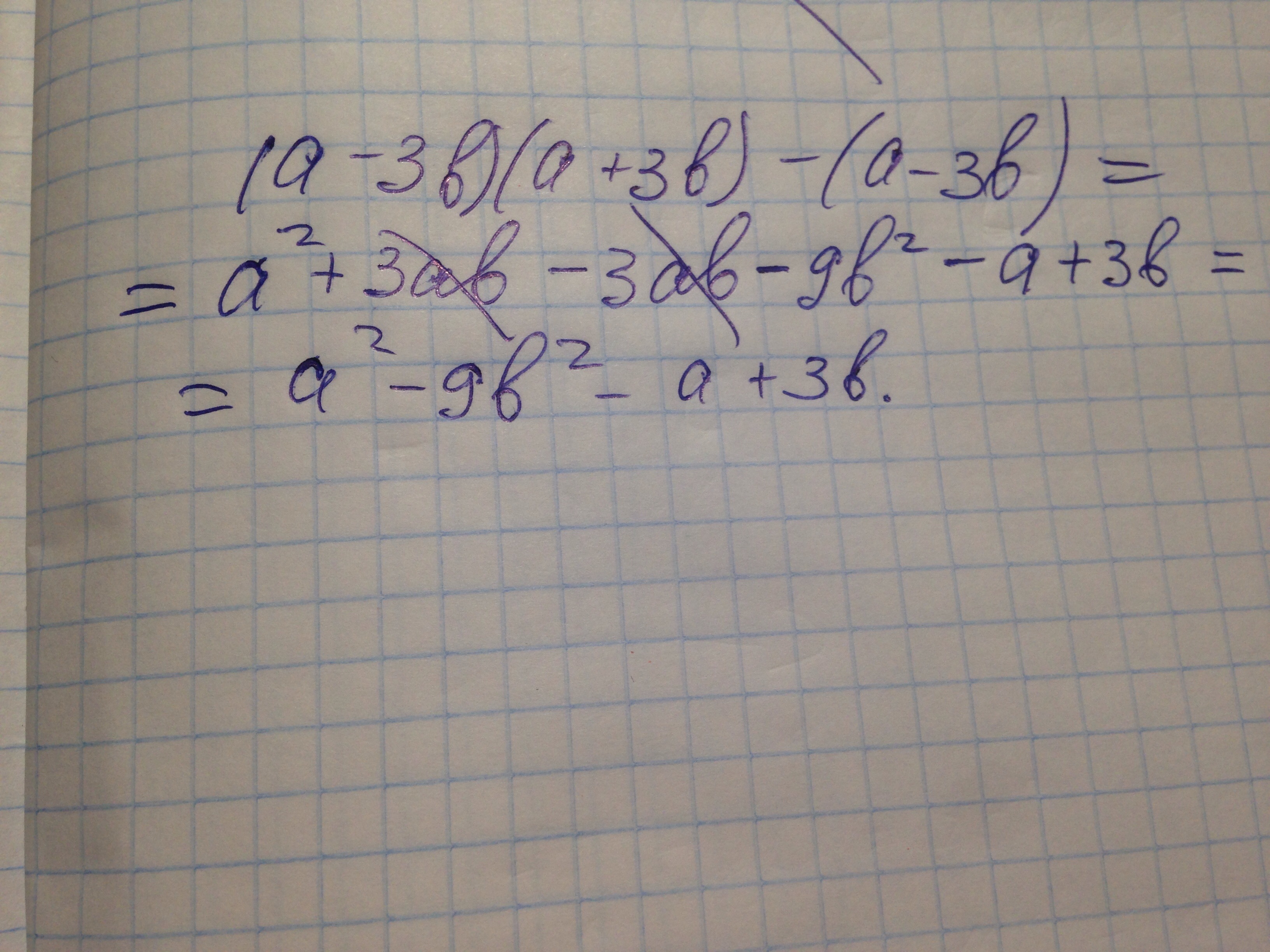
а)(а-3b)(а+3b)-(а-3b) эта скобка в квадрате =
помогите буду благодарен!Я надеюсь найдется тот человек который поможет!
Ответы
Ответ дал:
0
Такой ответ, решай и верь в себя!
Приложения:
Вас заинтересует
2 года назад
2 года назад
7 лет назад
7 лет назад
10 лет назад
10 лет назад
10 лет назад