Ответы
Ответ дал:
0
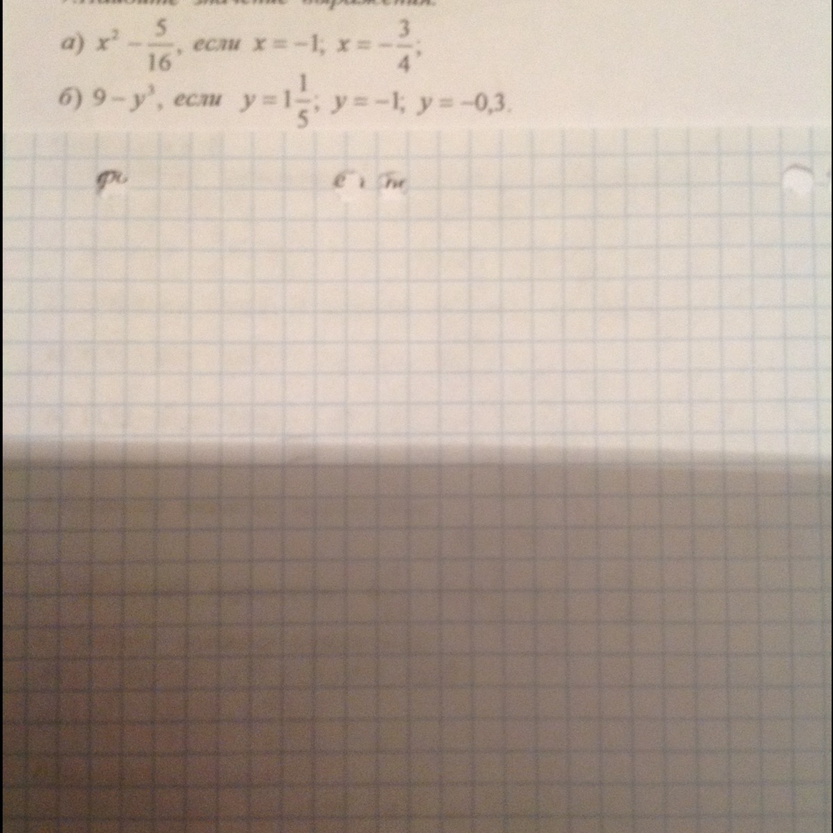
а) x=-1.
-1 в квадрате -5/16 = -1-5/16=-21/16=1 целая 5/16 приближённо = 1.31..
x=-3/4.
-(3/4)2 - 5/16 = - 9/16 - 5/16 = -7/8 приближённо = 0.875...
б) y=1 целая 1/5.
9-1(1/5)3 = 9 - 1/125 = 1124/125 = 8 целых 124/125 приближённо = 8.992.
y= -1.
9-1 в кубе = 9-1 = 8.
y=-0.3.
9-(-0,3)3 = 9-(-3/10)3 = 9-(-27/1000) = 9+27/1000 = 9027/1000 = 9 целых 27/1000 приближённо = 9,027.
Пожалуйста. Уверен в ответах на 100%.
-1 в квадрате -5/16 = -1-5/16=-21/16=1 целая 5/16 приближённо = 1.31..
x=-3/4.
-(3/4)2 - 5/16 = - 9/16 - 5/16 = -7/8 приближённо = 0.875...
б) y=1 целая 1/5.
9-1(1/5)3 = 9 - 1/125 = 1124/125 = 8 целых 124/125 приближённо = 8.992.
y= -1.
9-1 в кубе = 9-1 = 8.
y=-0.3.
9-(-0,3)3 = 9-(-3/10)3 = 9-(-27/1000) = 9+27/1000 = 9027/1000 = 9 целых 27/1000 приближённо = 9,027.
Пожалуйста. Уверен в ответах на 100%.
Вас заинтересует
2 года назад
2 года назад
7 лет назад
7 лет назад
10 лет назад
10 лет назад