1.Даны комплексные числа z1=2-i; z2=-1+3i. Найдите их сумму, разность, произведение и частное
2.Определите боковую поверхность правильной 4-х угольной пирамиды, если её высота равна 4см, а апофема 8 см.
3.Решите уравнения: sin2xcosx–cos2xsinx=0.
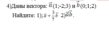
4.на скрине
Приложения:
Ответы
Ответ дал:
0
1)

2)
Решение в приложении
3)

4)

2)
Решение в приложении
3)
4)
Приложения:
Вас заинтересует
2 года назад
2 года назад
7 лет назад
7 лет назад
10 лет назад
10 лет назад