• Предмет: Математика
  • Автор: Test90
  • Вопрос задан 9 лет назад

Пожалусто помагите для кр работы очень нужно)

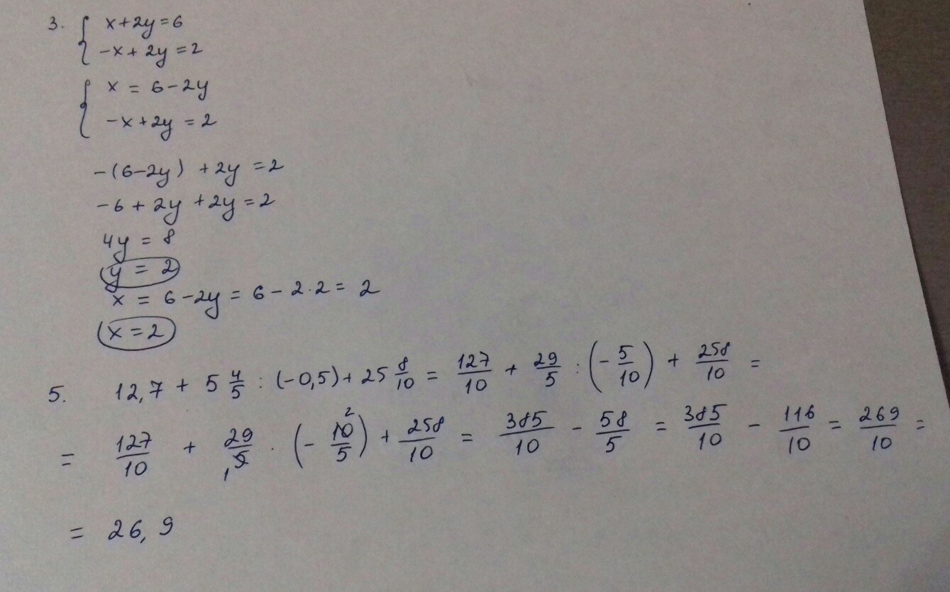
Приложения:

Ответы

Ответ дал: ann1nice
0
_______________________________
Приложения:
Ответ дал: Test90
0
а на 4?
Ответ дал: Test90
0
если можно(
Ответ дал: Test90
0
спс
Ответ дал: ann1nice
0
Добавила
Ответ дал: Test90
0
спс
Вас заинтересует