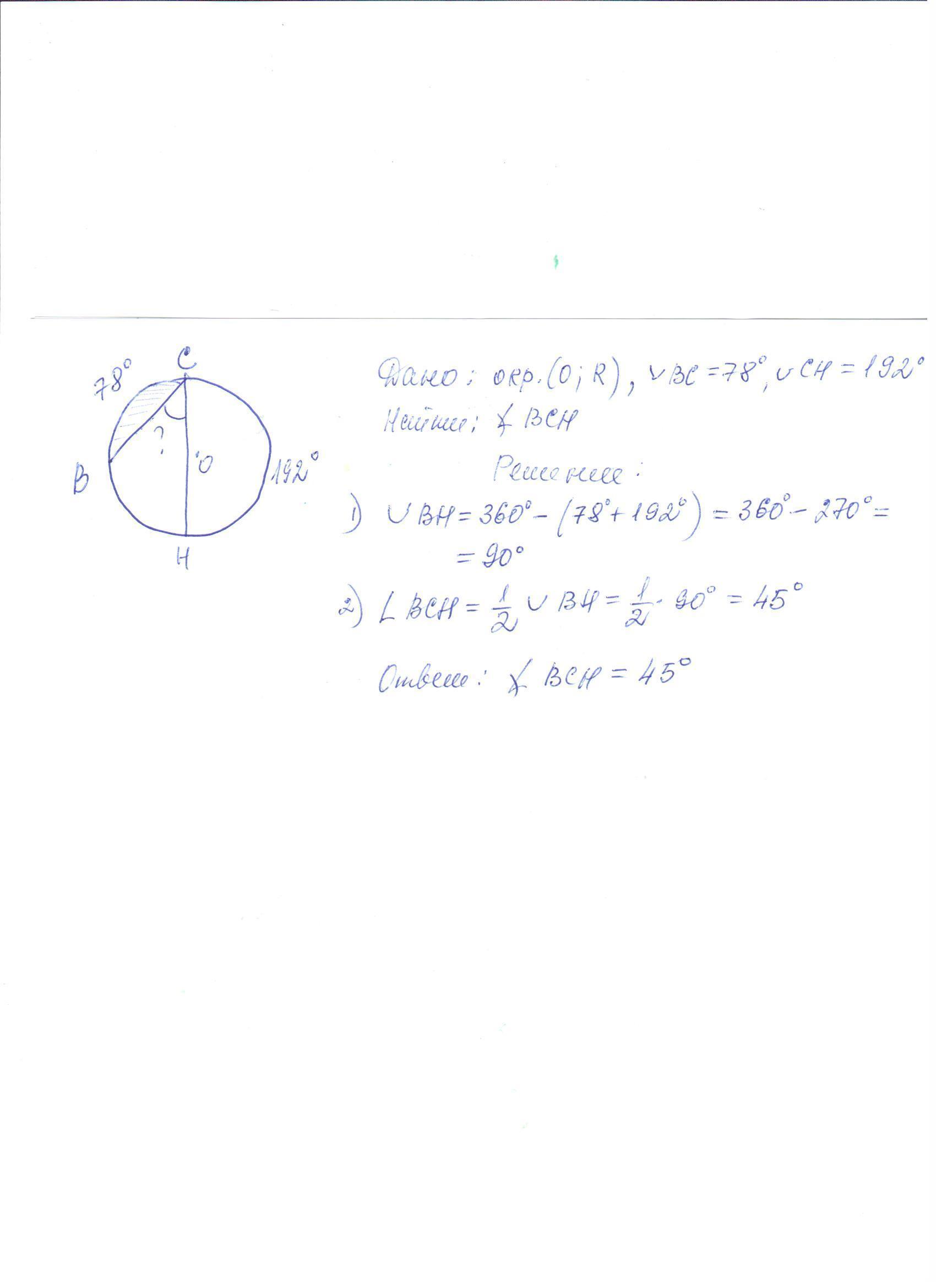
Найдите градусную меру угла BCH, если градусные меры дуг Bc и Ch равы 78° и 192° соотвественно
C решением и дано
Приложения:

Ответы
Ответ дал:
0
Решение в приложении.
Приложения:

Вас заинтересует
2 года назад
6 лет назад
9 лет назад
10 лет назад