• Предмет: Математика
  • Автор: ТанюшаКФ
  • Вопрос задан 9 лет назад

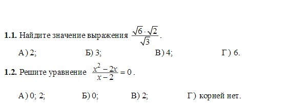
Помогите! срочно!,,,,,,,,,,,,,,,,,,,,,,,,,,

Приложения:

Ответы

Ответ дал: DeoSsо
0
в первом А, во втором Б
Вас заинтересует