Ответы
Ответ дал:
0
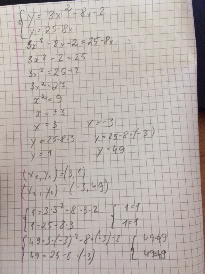
y=3x²-8x-2
y=25-8x
25-8x=3x²-8x-2
25=3x²-2
3x²=27
x²=9
x=+-3
x1=-3 x2=3
y1=49 y2=1
y=25-8x
25-8x=3x²-8x-2
25=3x²-2
3x²=27
x²=9
x=+-3
x1=-3 x2=3
y1=49 y2=1
Ответ дал:
0
Подробное решение в файле, удачи!
Приложения:

Вас заинтересует
2 года назад
2 года назад
7 лет назад
7 лет назад
9 лет назад
10 лет назад