• Предмет: Математика
  • Автор: magenta1
  • Вопрос задан 9 лет назад

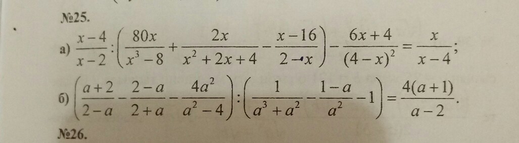
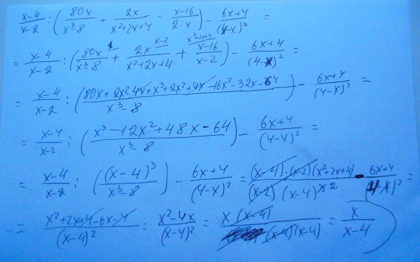
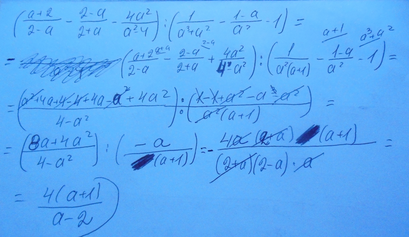
Докажите тождество,срочно нужно.

Приложения:

Ответы

Ответ дал: miron2077
0
извини за грязь, но уж очень много писать, несколько раз сбивался
Приложения:
Вас заинтересует