• Предмет: Алгебра
  • Автор: Qvot
  • Вопрос задан 9 лет назад

Помогите пожалуйста с 7 номером

Приложения:

Ответы

Ответ дал: Miroslava227
0
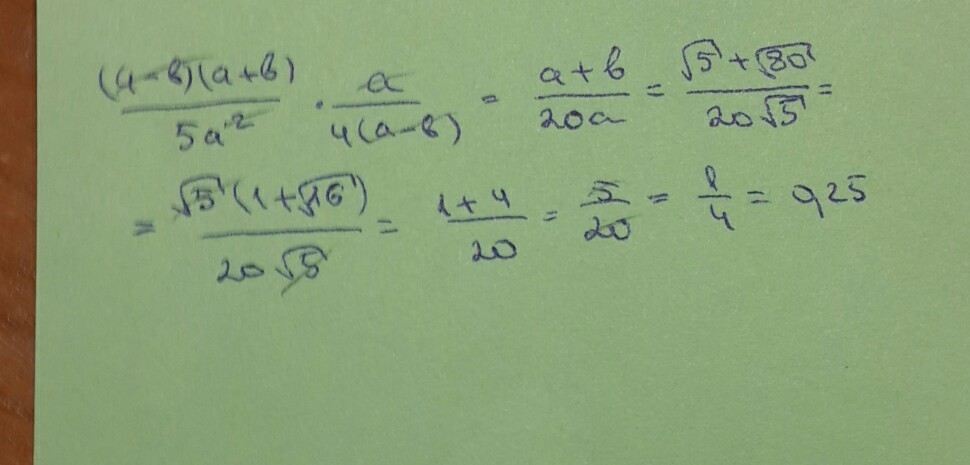
решение на фотографии. ответ: 0,25
Приложения:
Ответ дал: Qvot
0
А почему там был корень из 80, а стало (1+корень из 16)
Ответ дал: Miroslava227
0
потому что я вынесла общий множитель за скобку, значит кор из 80 поделила на кор из 5
Ответ дал: Qvot
0
Спасибо
Ответ дал: Eanhim
0
frac {a^2-b^2}{5a^2} cdot frac {a}{4a-4b} = frac {(a-b)(a+b)}{5a} cdot frac {1}{4(a-b)} = frac {(a+b)}{a} cdot frac {1}{20} = \
 ({1+frac {b}{a} )cdot frac {1}{20} = \
 (1+sqrt {frac {80}{5}}) cdot frac {1}{20} = (1+sqrt {16}) cdot frac {1}{20}= \
 frac {1+4}{20} =frac {1}{4}
Приложения:
Ответ дал: Eanhim
0
Почему-то больше 4 абзацев Tex не позволяет делать... странно
Вас заинтересует