Геометрическая прогрессия, система
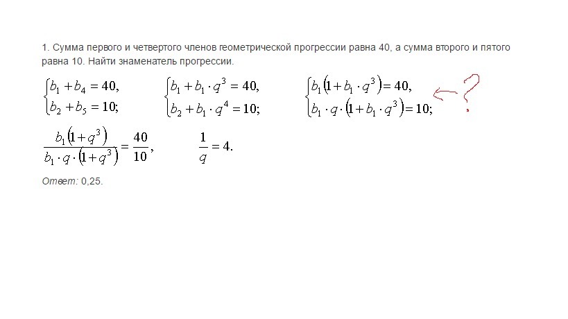
Объясните, пожалуйста, как в третьем действии вынесли за скобки и вообще откуда там один ? Я в упор не понимаю
Приложения:

Ответа на этот вопрос пока нет. Попробуйте найти его через форму поиска.
Вас заинтересует
2 года назад
7 лет назад
7 лет назад
9 лет назад
9 лет назад
10 лет назад
10 лет назад