Объясните пожалуйста, от куда берётся ответ. Всё. Понятно кроме этого действия. Заранее, спасибо.
Приложения:
Ответы
Ответ дал:
0
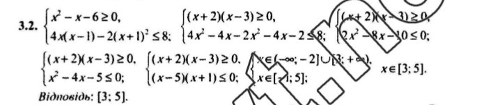
(x+2)(x-3)≥0
(x-5)(x+1)≤0
решаем по методу интервалов
1.
+++++++++ -2 --------------- 3 +++++++++++ x⊆(-∞ -2] U [3 +∞)
2.
+++++++++++++ -1 -------------------- 5 +++++ x⊆[-1 5]
пересекаем два множества и полчаем
х⊆[3 5]
(x-5)(x+1)≤0
решаем по методу интервалов
1.
+++++++++ -2 --------------- 3 +++++++++++ x⊆(-∞ -2] U [3 +∞)
2.
+++++++++++++ -1 -------------------- 5 +++++ x⊆[-1 5]
пересекаем два множества и полчаем
х⊆[3 5]
Вас заинтересует
2 года назад
2 года назад
7 лет назад
10 лет назад
10 лет назад