• Предмет: Алгебра
  • Автор: Аноним
  • Вопрос задан 9 лет назад

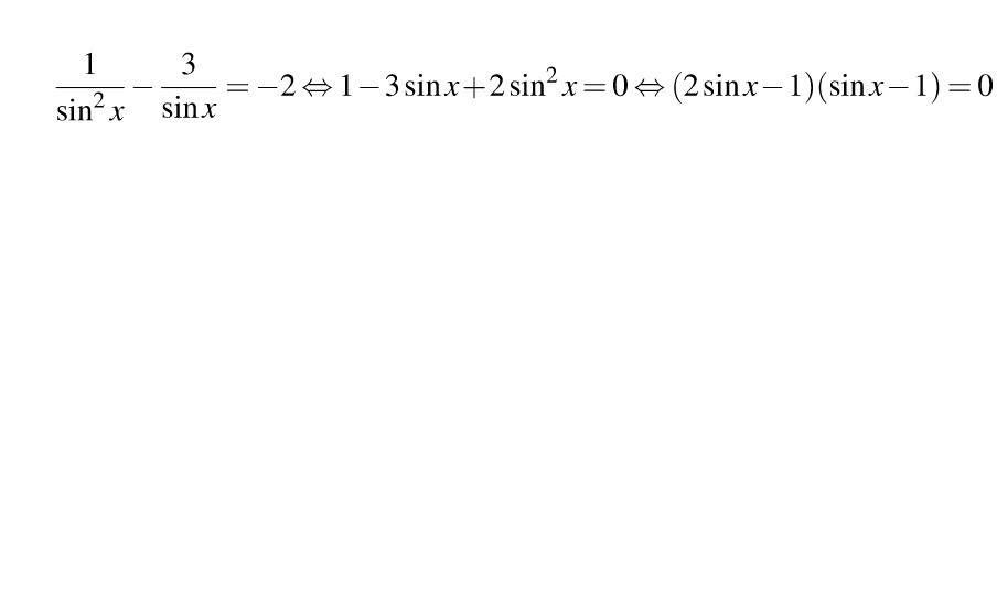
Кто нибудь может объяснить как в конце сгруппировали?

Приложения:

Ответы

Ответ дал: debnatkh
0
1-3sin(x)+2sin^2(x) = 2sin^2(x)-2sin(x)-sin(x)+1=2sin(x)cdot(sin(x)-1) - (sin(x)-1) = (2sin(x)-1)(sin(x) - 1)
Вас заинтересует