• Предмет: Физика
  • Автор: Tommy123
  • Вопрос задан 9 лет назад

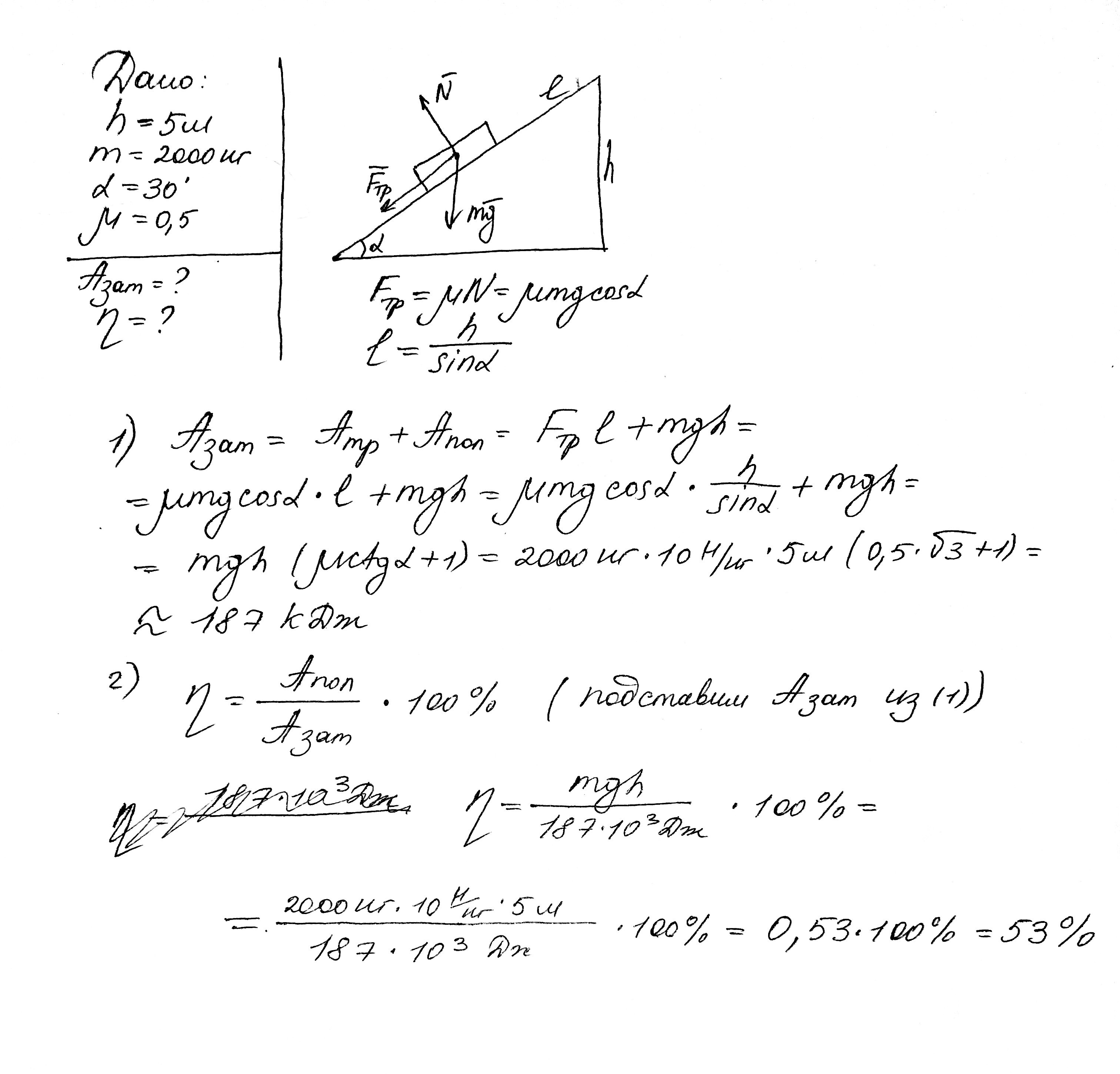
найти работу которую надо совершить чтобы поднять на высоту 5м груз массой 2 т, двигая его по наклонной плокости, состовляющей с горизонтом угол 30° при коэффиценте трения 0,5. Найти КПД этой наклонной плоскости.

Ответы

Ответ дал: kristall2001
0
⠀⠀⠀⠀⠀⠀⠀⠀⠀⠀⠀⠀⠀⠀⠀⠀⠀⠀⠀⠀⠀⠀⠀⠀⠀⠀⠀⠀⠀⠀⠀⠀⠀⠀⠀⠀
Приложения:
Ответ дал: Tommy123
0
Спасибо большое за помощь!
Ответ дал: kristall2001
0
Пожалуйста, я изменила, тк ошиблась первый раз во втором действии.
Вас заинтересует